2024. 8. 8. 17:58ㆍ머신러닝&딥러닝/비지도학습, 준지도학습
IJCAI 학회에 참여하여 인상깊게 본, 북경대학교 인공지능 연구소에서 작성한 준지도학습 논문(https://arxiv.org/pdf/2406.15763)이다. 현재 레이블링이 일부만 되어 있는 병리 이미지 데이터를 준지도학습 방법론으로 접근하고 있기에 관심이 갔다.
Introduction
- FixMatch는 고정되어 있는 높은 threshold를 기준으로 pseudo-labeling하는 알고리즘이다. (일반적으로 0.9~0.95를 사용) 따라서 unlabeled data를 충분히 학습에 이용하지 못한다는 단점이 있다.
- 후속 준지도학습 알고리즘들은 모델의 학습 상태에 따라 pseudo-labeling을 적용하며, 이는 biased data sampling 혹은 클래스 간 유사성의 영향을 많이 받는다.
-> 실제로, 일부 준지도학습 알고리즘은 초기 상태에 따라 성능의 fluctuation이 많이 발생한다.
이러한 배경에서 논문 저자들은 두 가지 질문을 던졌다.
- Pseuo-labeling 적용 시 학습 상황을 조금 더 정확하게 반영할 수 있는 추가적인 정보를 넣을 수는 없을까?
- 낮은 confidence로 Pseudo-labeling된 데이터가 충분히 유의미한 guidance를 줄 수 있을 것인가?

저자들은 40 label만으로 구성한 CIFAR-10으로 훈련한 모델로 pilot study를 하였다. 특히 SoftMatch는 신뢰도가 낮은 pseudo-label을 효과적으로 필터링하여 학습에 미치는 영향을 최소화하였다.
따라서, 저자들은 아래와 같은 두 가지 모듈을 고안하였다.
- Class-Specific Adaptive Threshold : Pseudo-label과 classifier weight를 기반으로 한 global, local threshold
- Binary Consistency Regulation : 데이터 증강에 대한 일관성을 유지하며, 일반화 성능을 갖춘다.
Class-Specific Adaptive Threshold
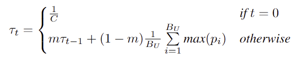
1. Global Estimation

모델은 까다로운 데이터보다 쉬운 데이터를 먼저 fitting하는 경향이 있기 때문에, threshold는 학습이 진행됨에 따라 변해야 한다.
2. Local Adjustment

Classifier weight의 L2 norm을 활용하여 class-specific learning status를 반영한다.
3. Threshold with CAT

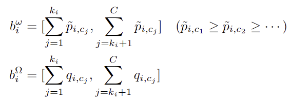
Binary Consistency Regulation
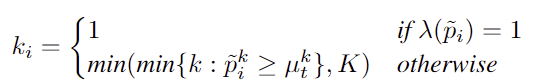
1. Global top-k confidence

2. 후보 class 찾기
local과 global top-k confidence를 비교하여 candidate class의 개수를 잰다.

3. BCC loss


즉, 전체 loss는 아래와 같이 구성된다.

Experiments

'머신러닝&딥러닝 > 비지도학습, 준지도학습' 카테고리의 다른 글
| FixMatch의 트레이닝 디테일 (1) | 2024.08.20 |
|---|---|
| Consistency 기반의 준지도학습 알고리즘 (Π model, Temporal Ensemble)정리 (0) | 2024.08.07 |